
Lactisole
suppresses the excessively sweet taste in high sugar food
What Is Lactisole
Lactisole is the sodium salt of 2-(4-methoxyphenoxy)-propionic acid, which naturally presents in Colombian Arabica Coffee beans.
At concentrations of 100–150 ppm in food, lactisole can greatly suppress the perceiving of sweet tastes, both from sugar and from artificial sweeteners such as aspartame. For example, a 12% sucrose solution is perceived like a 4% sucrose solution when lactisole is added.
Lactisole has widely been used to improve taste in foods such as jellies, jams, and preserved fruit products containing large amounts of sugar. By adding lactisole in these products, it allows fruit flavors to come through due to the suppressing of sugar's sweetness.
As a food additive, lactisole is designated as GRAS (Generally Recognized as Safe) by the Flavor and Extract Manufacturers Association (FEMA number: 3773) and approved for use in food as flavouring agent up to 150 ppm.Chemical Information
How Well Does It Work
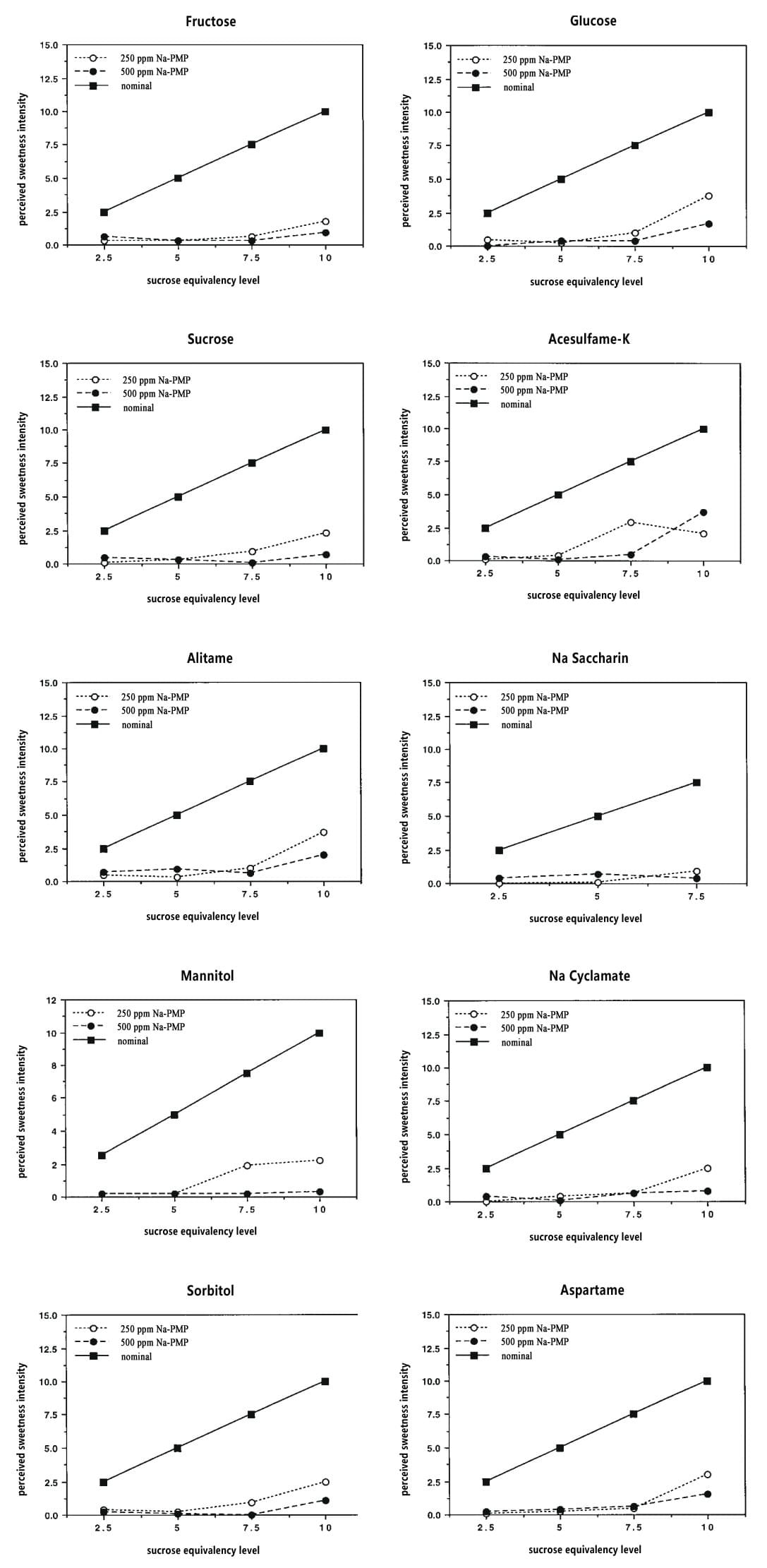
In 1999, scientists at Duke University conducted a study on the sweetness suppressing effect of lactisole, which was published in Chem. Senses. The study reported the sweetness suppressing effect of lactisole on a variety of sugars and sweeteners.

Mean sweetness intensity ratings of 10 sweetners, respectively mixed with 250 and 500 ppm lactisole. A line is given depicting the nominal or expected response for each sweetness intensity level. Image source: Schiffman, S.S., Booth, B.J., Sattely-Miller, E.A., et al. Selective inhibition of sweetness by the sodium salt of ±2-(4-methoxyphenoxy)propanoic acid Chem.Senses 24(4), 439-447 (1999). For more details, please read the study report.
A Safe Food Additive
Lactisole (Na-PMP) has been widely recognized and approved by countries and organizations all over the world as a food additive:
- Na-PMP has been included in the list of Everything Added to Food in the United States (EAFUS) by the FDA with No.2992.
- Na-PMP has been recognized by the Joint FAO/WHO Expert Committee on Food Additives (JECFA) with JECFA No. 1029. Safety assessment on Na-PMP by JECFA is: No safety concern at current levels of intake when used as a flavoring agent.
- Na-PMP is identified as GRAS (Generally Recognized as Safe) by FEMA (Flavor and Extract Manufacturers Association). FEMA No. 3773.
- The safety of Na-PMP has been recognized by the European Union and it is allowed to be used as a flavouring substance in foods, FL No. 16.041. (please refer to COMMISSION DECISION of 23 January 2002, amending Commission Decision 1999/217/EC as regards the register of flavoring substances used in or on foodstuffs.)



